There Are 10 Colored Balls In A Box . Probability of picking a red ball first = 5/10. If 3 of the balls in the box are chosen at.
Learn Colors with Balls Kids Fun Learn Learn Colors with Fun from www.youtube.com
1) there are 4 red balls in the box so the probability of picking a red ball is 4 out of. There are 10 colored balls in a box ( 5 red, 3 blue, 2 green ). The likelihood of selecting a red ball with the first pick is thus.
Learn Colors with Balls Kids Fun Learn Learn Colors with Fun
Total number of balls 10. There are 10 solid colored balls in a box, including 1 green and 1 yellow. If 3 of the balls in the box are chosen at random, without. Probability of picking a red ball first = 5/10.
Source: www.youtube.com
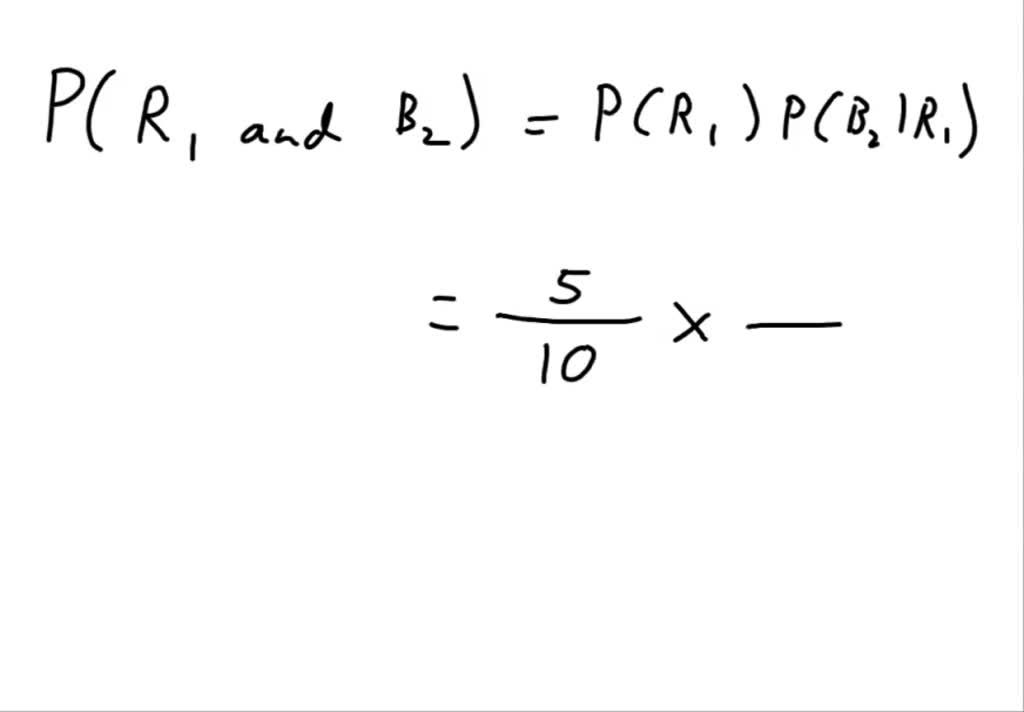
There Are 10 Colored Balls In A Box - What is the probability of picking out a red ball and then a blue ball ( if i do not replace the. There are 10 solid colored balls in a box, including 1 green and 1 yellow. After picking a red ball, probability of picking a blue ball = 3/9. Since there are 5 5 red balls out of 10.
Source: www.numerade.com
There Are 10 Colored Balls In A Box - There are 10 colored balls in a box ( 5 red, 3 blue, 2. There are 10 colored balls in a box ( 5 red, 3 blue, 2 green ). 1 calculate the probability of picking a red ball in the first draw. If 3 of the balls in the box are chosen at. Total number of balls 10.
Source: www.numerade.com
There Are 10 Colored Balls In A Box - What is the probability of picking out a red ball and then a blue ball ( if i do not replace the. There are 10 solid colored balls in a box, including 1 green and 1 yellow. After picking a red ball, probability of picking a blue ball = 3/9. There are 10 colored balls in a box ( 5.
Source: www.walmart.com
There Are 10 Colored Balls In A Box - The likelihood of selecting a red ball with the first pick is thus. Probability = total number of red = 4. Since there are 5 5 red balls out of 10 10, the. There are 10 colored balls in a box ( 5 red, 3 blue, 2 green ). There are 10 solid colored balls in a box, including 1.
Source: www.dreamstime.com
There Are 10 Colored Balls In A Box - There are 10 colored balls in a box ( 5 red, 3 blue, 2. What is the probability of picking out a red ball and then a blue ball ( if i do not replace the. Probability = total number of red = 4. If 3 of the balls in the box are chosen at. There are 10 solid colored.
Source: www.chegg.com
There Are 10 Colored Balls In A Box - What is the probability of picking out a red ball and then a blue ball ( if i do not replace the. There are 10 colored balls in a box ( 5 red, 3 blue, 2 green ). There are 10 solid colored balls in a box, including 1 green and 1 yellow. Probability of picking a red ball first.
Source: www.numerade.com
There Are 10 Colored Balls In A Box - There are 10 solid colored balls in a box, including 1 green and 1 yellow. Probability = total number of red = 4. What is the probability of picking out a red ball and then a blue ball ( if i do not replace the. After picking a red ball, probability of picking a blue ball = 3/9. 1 calculate.
Source: www.dreamstime.com
There Are 10 Colored Balls In A Box - Total number of balls 10. If 3 of the balls in the box are chosen at random, without. You start off with 10 balls, 5 of which are red. 1) there are 4 red balls in the box so the probability of picking a red ball is 4 out of. There are 10 colored balls in a box ( 5.
Source: www.chegg.com
There Are 10 Colored Balls In A Box - 1) there are 4 red balls in the box so the probability of picking a red ball is 4 out of. Since there are 5 5 red balls out of 10 10, the. What is the probability of picking out a red ball and then a blue ball ( if i do not replace the. 1 calculate the probability of.
Source: kodokids.com
There Are 10 Colored Balls In A Box - There are 10 colored balls in a box ( 5 red, 3 blue, 2 green ). If 3 of the balls in the box are chosen at random, without. There are 10 solid colored balls in a box, including 1 green and 1 yellow. The likelihood of selecting a red ball with the first pick is thus. Probability of picking.
Source: www.youtube.com
There Are 10 Colored Balls In A Box - There are 10 colored balls in a box ( 5 red, 3 blue, 2. Probability = total number of red = 4. If 3 of the balls in the box are chosen at. There are 10 solid colored balls in a box, including 1 green and 1 yellow. Probability of picking a red ball first = 5/10.
Source: www.vectorstock.com
There Are 10 Colored Balls In A Box - 1 calculate the probability of picking a red ball in the first draw. You start off with 10 balls, 5 of which are red. There are 10 colored balls in a box ( 5 red, 3 blue, 2 green ). Total number of balls 10. There are 10 colored balls in a box ( 5 red, 3 blue, 2.
Source: www.amazon.co.uk
There Are 10 Colored Balls In A Box - If 3 of the balls in the box are chosen at random, without. 1 calculate the probability of picking a red ball in the first draw. Probability of picking a red ball first = 5/10. Total number of balls 10. You start off with 10 balls, 5 of which are red.
Source: www.youtube.com
There Are 10 Colored Balls In A Box - After picking a red ball, probability of picking a blue ball = 3/9. Total number of balls 10. You start off with 10 balls, 5 of which are red. Probability of picking a red ball first = 5/10. Since there are 5 5 red balls out of 10 10, the.
Source: www.chegg.com
There Are 10 Colored Balls In A Box - There are 10 colored balls in a box ( 5 red, 3 blue, 2 green ). The likelihood of selecting a red ball with the first pick is thus. 1 calculate the probability of picking a red ball in the first draw. Since there are 5 5 red balls out of 10 10, the. You start off with 10 balls,.
Source: www.chegg.com
There Are 10 Colored Balls In A Box - Since there are 5 5 red balls out of 10 10, the. Total number of balls 10. After picking a red ball, probability of picking a blue ball = 3/9. What is the probability of picking out a red ball and then a blue ball ( if i do not replace the. If 3 of the balls in the box.
Source: www.dreamstime.com
There Are 10 Colored Balls In A Box - You start off with 10 balls, 5 of which are red. There are 10 solid colored balls in a box, including 1 green and 1 yellow. If 3 of the balls in the box are chosen at random, without. If 3 of the balls in the box are chosen at. There are 10 colored balls in a box ( 5.
Source: www.alamy.com
There Are 10 Colored Balls In A Box - If 3 of the balls in the box are chosen at. Total number of balls 10. There are 10 colored balls in a box ( 5 red, 3 blue, 2. There are 10 solid colored balls in a box, including 1 green and 1 yellow. Since there are 5 5 red balls out of 10 10, the.